메인 콘텐츠 바로가기
더불어민주당을
소개합니다.
뒤로가기
소개
당대표
조직도·위치
강령·당헌·당규·윤리규범
우리의 발자취, 대통령
우리의 발자취
우리의 대통령
사람들
중앙당
국회의원
시도당·지역구
지방자치단체
로고·심볼
소식
논평·브리핑
모두발언
보도자료
뉴스레터(외신)
정책브리핑
공지사항
일정
콘텐츠
홍보자료실
온라인자료실
현수막자료실
선거자료실
포토 갤러리
포토갤러리
원내 자료실
원내 자료실
국감 자료실
정책 자료실
서식 자료실
팩트체크
당원
입당신청
복당신청
탈당신청
전적신청
당원정보 변경
민주e아카데미
민주응답센터
작게
100
%
크게
통합검색 열기
전체메뉴 열기
검색어를 입력하세요
검색
#더불어민주당
#블루웨이브
검색창 닫기
전체메뉴
블루웨이브
더불어민주당
당원가입
바로가기
당비영수증
발급
바로가기
교육이수증 출력
바로가기
민주응답센터
바로가기
더불어민주당
당원가입
바로가기
당비영수증
발급
바로가기
교육이수증 출력
바로가기
민주응답센터
바로가기
Home
콘텐츠
국감자료실
점자파일 내려받기
전자점자 뷰어보기
국감자료실
행정안전
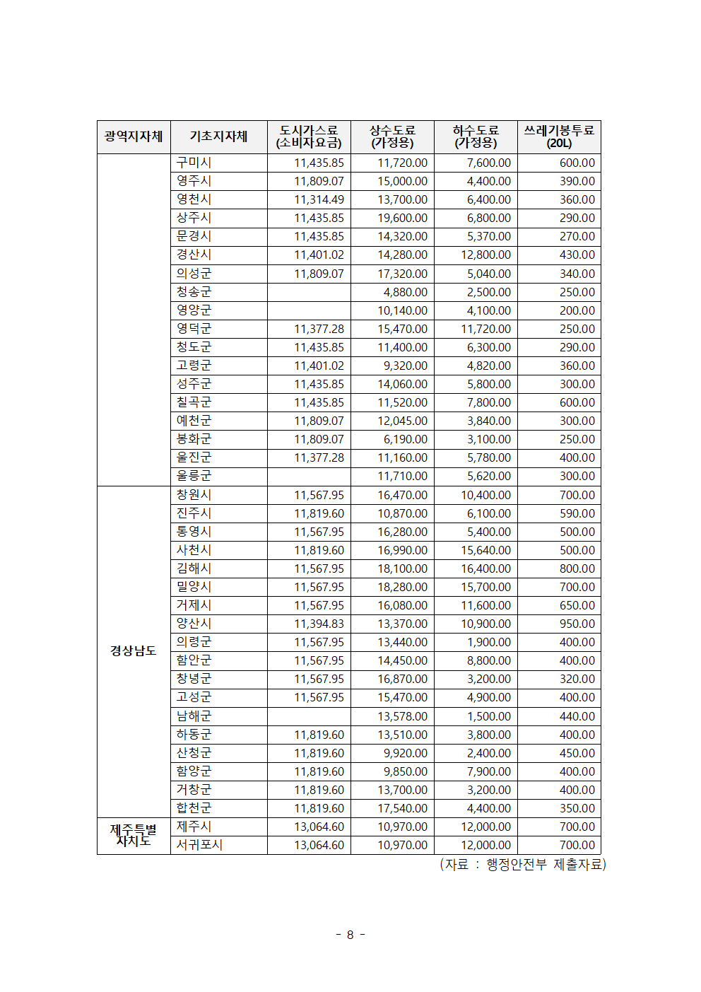
[국회의원 한병도 국정감사] 전국 쓰레기봉투값 천차만별 지역별 공공요금 최대 10배 이상 차이
게시자 : 국회의원 한병도
조회수 : 173
게시일 : 2024-10-12 15:01:59
한병도의원_2024행안위국정감사보도자료(17)_전국 쓰레기봉투값 천차만별 지역별 공공요금 최대 10배 이상 차이.hwp
공유
공유하기
닫기
페이스북
트위터
카카오톡
URL 복사
목록
다음 글
[국회의원 한병도 국정감사] ‘K-콘텐츠’ 노린 저작권 위반 범죄 올 6월까지 2만 3천건... 이미 지난해 넘어서
174조회
2024-10-12
이전 글
[국회의원 한병도 국정감사] 매일 아동·장애인·치매환자 127명이 사라진다... 성인 실종은 연간 7만 건... 매년 1천 명 숨져
168조회
2024-10-12
share url